河滩河道洗金淘金设备挖深12米

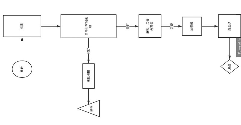
350-400吨,挖深12米河滩河道洗金淘金设备流程概述:原料通过挖斗送入绞洗式滚筒筛内进行清洗,并且进行筛选分级为:细料、中料与废料三种规格。废料通过输送机直接排出;中料通过料斗溜槽排入一台振动溜槽进行回收后,废料排出;细料排入料箱内通过两台沙泵分别送入两台1200#卧式全自动排矿离心机内进行回收,精料自动排出至料箱内,废料通过管道排出。

350-400吨,挖深12米河滩河道洗金淘金设备生产工艺流程示意图

精选工艺流程示意图(选配)

河滩河道洗金淘金设备技术参数&报价清单
|
名称 |
规格 |
数量 |
功率 |
备注 |
|
主浮体 |
总长34.5米,单宽1.8米,高1.15米;面板4mm花纹板,底板、侧板6mm |
2条 |
|
|
|
边浮体 |
总长11米,单宽1.8米,高1.15米;面板4mm花纹板,底板、侧板6mm |
2条 |
|
|
|
方架/斜架 |
高6.5米,长5.9米,宽2米 |
1套 |
|
|
|
大臂 |
两节臂,长度约25.5米 |
1套 |
|
|
|
上四角轮 |
轮径1350mm,轴径:250mm,轴承型号:22348# |
1套 |
|
|
|
下五角轮 |
轮径1750mm,边板厚度25mm,轴径135mm,轴承型号22326#、6326#,共4盘 |
1套 |
|
|
|
挖斗 |
1000#,宽度1000mm |
67个 |
|
单斗容积0.3方 |
|
链条 |
弹簧钢 单厚50MM,总厚150MM 高150mm |
134条 |
|
|
|
龙门架 |
横梁Ø180*20管,立柱Ø159*16管,辅材150#方管 |
1套 |
|
|
|
滑轮 |
Ø250mm,7个, |
1套 |
|
|
|
滚筒筛 |
无轴绞洗式滚筒筛 |
1套 |
|
|
|
四角轮动力 |
1300#减速机(铁壳焊接) |
1套 |
|
|
|
起大臂动力 |
500#减速机 |
1套 |
|
|
|
主锚 |
400#减速机 |
1套 |
|
|
|
副锚 |
250#减速机 |
4套 |
|
|
|
振动溜槽 |
1200*4500 |
1台 |
|
|
|
离心机 |
1200#卧式全自动排矿离心机 |
2台 |
|
|
|
离心水泵 |
11KW |
1台 |
|
|
|
沙泵&料箱 |
4寸沙泵+15KW电机+料箱 |
2套 |
|
|
|
废料杆 |
B800X9m |
1套 |
|
|
|
配电箱 |
开关品牌:德力西或正泰 |
1套 |
|
不含线缆 |
|
发电机组 |
200KW康明斯 |
1台 |
|
|
|
装机总功率 |
143.5KW(不含给水泵) |
|||
|
工作功率 |
105.5KW(不含给水泵) |
|||
|
出厂价格 |
税前¥:15053659999来电索要(含发电机组,不含水电与运费,税率13%) |
|||


产品目录
PRODUCTS推荐文章
NEWS LIST- 微型淘金设备适用于小型装载机和挖掘机等搭配使用,适合多种上料方式
- 淘金需要哪些设备?淘金设备哪家好?
- 淘金机械淘选沙金的十二大步骤-步步详细!
- 山东淘金机械哪家好?青州球盟会qmh淘金设备更专业
- 淘金选矿设备以鼓动溜槽,摇床,跳汰机或离心机为主各种类型的淘金机械优缺点对比
- 淘金设备功能有哪些?如何选择质量好的淘金机械
- 黏泥矿跟干旱沙金矿淘金设备在配置上有什么不同?
- 淘金设备在陆地和海洋方面的应用
- 河沙淘金设备性能特性及购买注意事项
- 小型淘金设备-便携式淘金机械有哪些?
- 怎么解决淘金机械在闲置中的的腐蚀问题?
- 高效淘金机械-淘金设备进一步的提纯改进方法
- 淘金溜槽使用注意事项及价格投资分析
- 古代原始淘金VS现代淘金设备淘金大比拼
- 河道河沙常用的淘金机械就是淘金船和移动淘金设备
- 淘金设备新机械价格-冠诚淘金机械报价
- 河沙淘金设备生产厂商教你如何处理淘金机械设备故障
- 河道淘金设备-推荐一款专门用于河道的淘金设备

150-5365-9999






